ggpmisc

Miscellaneous Extensions to ‘ggplot2’

cran version cran checks ggpmisc status badge R-CMD-check web site DOI

Current failure of R-CMD-check.yaml at GitHub is due to small visual differences in plots between versions of R, which are not fully addressed by the currently implemented versioning of graphical “snaps” used as reference for tests.

Purpose

Package ‘ggpmisc’ (Miscellaneous Extensions to ‘ggplot2’) is a set of extensions to R package ‘ggplot2’ (>= 3.0.0) with emphasis on annotations and plotting related to fitted models. Estimates from model fit objects can be displayed in ggplots as text, model equations, ANOVA and summary table. Predicted values, residuals, deviations and weights can be plotted for various model fit functions. Linear models, polynomial regression, quantile regression, major axis regression, non-linear regression and different approaches to robust and resistant regression, as well as user-defined wrapper functions based on them are supported. In addition, all model fit functions returning objects for which accessors are available or supported by package ‘broom’ and its extensions are also supported but not as automatically. Labelling based on multiple comparisons supports various P adjustment methods and contrast schemes. Annotation of peaks and valleys in time series, and scales for volcano and quadrant plots as used for gene expression data are also provided. Package ‘ggpmisc’ continues to give access to extensions moved as of version 0.4.0 to package ggpp.

Philosophy

Package ‘ggpmisc’ is consistent with the grammar of graphics, and opens new possibilities retaining the flexibility inherent to this grammar. Its aim is not to automate plotting or annotations in a way suitable for fast data exploration by use of a “fits-all-sizes” predefined design. Package ‘ggpmisc’ together with package ‘ggpp’, provide new layer functions, position functions and scales. In fact, these packages follow the tenets of the grammar even more strictly than ‘ggplot2’ in the distinction between geometries and statistics. The new statistics in ‘ggpmisc’ focus mainly on model fitting, including multiple comparisons among groups. The default annotations are those most broadly valid and of easiest interpretation. We follow R’s approach of expecting that users know what they need or want, and will usually want to adjust how results from model fits are presented both graphically and textually. The approach and mechanics of plot construction and rendering remain unchanged from those implemented in package ggplot2.

Statistics

Statistics that help with reporting the results of model fits are:

Statistic Returned values
(default geometry)
Methods
Model equation parameter estimates
stat_poly_eq() equation, R2, P, etc. (text_npc) lm, rlm, lts, gls, ma, sma, etc. (1, 2, 7)
stat_ma_eq() equation, R2, P, etc. (text_npc) lmodel2 (6, 7)
stat_quant_eq() equation, P, etc. (text_npc) rq (1, 3, 4, 7)
stat_distrmix_eq() equation(s) (text_npc) normalmixEM (2, 7)
stat_correlation() correlation, P-value, CI (text_npc) Pearson (t), Kendall (z), Spearman (S)
stat_fit_glance() equation, R2, P, etc. (text_npc) those supported by ‘broom’
Model line predicted and fitted values
stat_poly_line() line + conf. (smooth) lm, rlm, lts, gls, ma, sma, etc. (1, 2, 7)
stat_ma_line() line + slope conf. (smooth) lmodel2 (6, 7)
stat_quant_line() line + conf. (smooth) rq, rqss (1, 3, 4, 7)
stat_quant_band() line + band, 2 or 3 quantiles (smooth) rq, rqss (1, 4, 5, 7)
stat_distrmix_line() lines(s) (line) normalmixEM (2, 7)
stat_fit_augment() predicted and other values (smooth) those supported by ‘broom’
stat_fit_fitted() fitted values (point) lm, rlm, lts, rq, gls, ma, sma, etc. (1, 2, 4, 7, 9)
stat_fit_deviations() deviations from observations (segment) lm, rlm, lts, rq, gls, ma, sma, etc. (1, 2, 4, 7, 9)
Model table parameter estimates and significance
stat_fit_tb() ANOVA and summary tables (table_npc) those supported by ‘broom’
stat_fit_tidy() fit results, e.g., for equation (text_npc) those supported by ‘broom’
Contrasts Tukey, Dunnet and arbitrary pairwise
stat_multcomp() Multiple comparisons (label_pairwise or text) those supported by glht (1, 2, 7)
Residuals model fit residuals
stat_fit_residuals() residuals (point) lm, rlm, lts, rq, gls, ma, sma, etc. (1, 2, 4, 7, 9)

Notes: (1) weight aesthetic supported; (2) user defined model fit functions including wrappers of supported methods are accepted even if they modify the model formula (additional model fitting methods are likely to work, but have not been tested); (3) unlimited quantiles supported; (4) user defined fit functions that return an object of a class derived from rq or rqs are supported even if they override the statistic’s formula and/or quantiles argument; (5) two and three quantiles supported; (6) user defined fit functions that return an object of a class derived from lmodel2 are supported; (7) method arguments support colon based notation; (8) model fit functions if method residuals() defined for returned value; (9) model fit functions if method fitted() is defined for the returned value.

Statistics stat_peaks() and stat_valleys() can be used to highlight and/or label global and/or local maxima and minima in a plot.

Aesthetics and scales

Scales scale_x_logFC(), scale_y_logFC(), scale_colour_logFC() and scale_fill_logFC() easy the plotting of log fold change data. Scales scale_x_Pvalue(), scale_y_Pvalue(), scale_x_FDR() and scale_y_FDR() are suitable for plotting p-values and adjusted p-values or false discovery rate (FDR). Default arguments are suitable for volcano and quadrant plots as used for transcriptomics, metabolomics and similar data.

Scales scale_colour_outcome(), scale_fill_outcome() and scale_shape_outcome() and functions outome2factor(), threshold2factor(), xy_outcomes2factor() and xy_thresholds2factor() used together make it easy to map ternary numeric outputs and logical binary outcomes to color, fill and shape aesthetics. Default arguments are suitable for volcano, quadrant and other plots as used for genomics, metabolomics and similar data.

Migrated

Several geoms and other extensions formerly included in package ‘ggpmisc’ until version 0.3.9 were migrated to package ‘ggpp’. They are still available when ‘ggpmisc’ is loaded, but the documentation now resides in the new package ggpp. cran version ggpp status badge

Functions for the manipulation of layers in ggplot objects, together with statistics and geometries useful for debugging extensions to package ‘ggplot2’, included in package ‘ggpmisc’ until version 0.2.17 are now in package gginnards. cran version gginnards status badge

Examples

library(ggpmisc)
library(ggrepel)
library(broom)

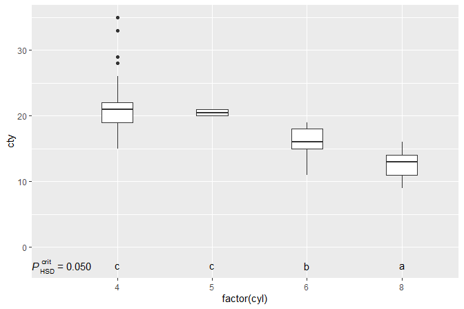
In the first two examples we plot data such that we map a factor to the x aesthetic and label it with the adjusted P-values for multitle comparision using “Tukey” contrasts.

ggplot(mpg, aes(factor(cyl), cty)) +
  geom_boxplot(width = 0.33) +
  stat_multcomp(label.type = "letters") +
  expand_limits(y = 0)
Figure 1. Boxplots with outcome from paiwise contrasts using Tukey’s HSD (honestly significant difference) as criterion with \alpha = 0.05.

Using “Dunnet” contrasts and “bars” to annotate individual contrasts with the adjusted P-value, here using Holm’s method.

ggplot(mpg, aes(factor(cyl), cty)) +
  geom_boxplot(width = 0.33) +
  stat_multcomp(contrasts = "Dunnet",
                p.adjust.method = "holm",
                size = 2.75) +
  expand_limits(y = 0)
Figure 2. Boxplots with outcome from paiwise Dunnet contrasts using Holms’ P-adjustment. The adjusted P-values are shown for each pairwise contrast. An ANOVA is first fitted and subsequently its output is used for pairwise contrasts within the stat. Labels are formatted automatically.

In the third example we add the equation for a linear regression, the adjusted coefficient of determination and P-value to a plot showing the observations plus the fitted curve, deviations and confidence band. We use stat_poly_eq() together with use_label() to assemble and map the desired annotations.

formula <- y ~ x + I(x^2)
ggplot(cars, aes(speed, dist)) +
  geom_point() +
  stat_fit_deviations(formula = formula, colour = "red") +
  stat_poly_line(formula = formula) +
  stat_poly_eq(use_label(c("eq", "adj.R2", "P")), formula = formula)
Figure 3. Scatter plot of obsevations with a second degree polynomial fitted by OLS. Fitted model line with 95% confidence band is shown. Deviations for each observation are highlighted as red segments. Fitted model equation, R^2 and P-value are shown as annotations. Model fitted within stats with labels generated automatically.

The same figure as in the third example but this time annotated with the ANOVA table for the model fit. We use stat_fit_tb() which can be used to add ANOVA or summary tables.

formula <- y ~ x + I(x^2)
ggplot(cars, aes(speed, dist)) +
  geom_point() +
  stat_poly_line(method = "lm", formula = formula) +
  stat_fit_tb(method = "lm",
              method.args = list(formula = formula),
              tb.type = "fit.anova",
              tb.vars = c(Effect = "term",
                          "df",
                          "M.S." = "meansq",
                          "italic(F)" = "statistic",
                          "italic(P)" = "p.value"),
              tb.params = c(x = 1, "x^2" = 2),
              label.y = "top", label.x = "left",
              size = 3.5,
              parse = TRUE)
#> Dropping params/terms (rows) from table!
Figure 4. The same base plot as in Figure 3, but annotated with an inset ANOVA table for the fitted model. Model fitted within stats with table generated automatically. Some column and row headings replaced by user-provided character strings, some of them parsed as plotmath expressions.

The same figure as in the third example but this time using quantile regression, median in this example.

formula <- y ~ x + I(x^2)
ggplot(cars, aes(speed, dist)) +
  geom_point() +
  stat_quant_line(formula = formula, quantiles = 0.5) +
  stat_quant_eq(use_label("eq", "rho", "n"),
                formula = formula, quantiles = 0.5)
Figure 5. Same scatter plot of obsevations as in Figures 3 and 4, but with a the second degree polynomial fitted by quantile regression. Fitted model line with 95% confidence band shown. Fitted model equation shown, \rho and the number of observations shown as annotations. Model fitted within stats with labels generated automatically.

Band highlighting the region between both quartile regressions and a line for the median regression.

formula <- y ~ x + I(x^2)
ggplot(cars, aes(speed, dist)) +
  geom_point() +
  stat_quant_band(formula = formula) +
  stat_quant_eq(formula = formula, quantiles = c(0.25, 0.5, 0.75))
Figure 6. The same scatter plot of obsevations as in Figures 3 to 5 but with three second degree polynomials fitted by quantile regression, for the median and the quartiles. The line shows the model fit for the median line, and the band delimits the quartiles. The three fitted model equations are shown as annotations. Model fitted within stats with labels generated automatically.

A quadrant plot with counts and labels, using geom_text_repel() from package ‘ggrepel’.

ggplot(quadrant_example.df, aes(logFC.x, logFC.y)) +
  geom_point(alpha = 0.3) +
  geom_quadrant_lines() +
  stat_quadrant_counts() +
  stat_dens2d_filter(color = "red", 
                     keep.fraction = 0.02, h = 3) +
  stat_dens2d_labels(aes(label = gene), 
                     keep.fraction = 0.02, h = 3,
                     geom = "text_repel", 
                     size = 2, 
                     colour = "red") +
  scale_x_logFC(name = "Transcript abundance after A%unit") +
  scale_y_logFC(name = "Transcript abundance after B%unit",
                expand = expansion(mult = 0.2))
Figure 7. A quadrant plot as used to compare gene expression under two conditions or in two genotypes. A fraction, 2% in this case, of all genes are labelled, with those in the least dense regions of the scatter plot selected automatically. The manually set bandwidth, h = 3 in this case, has a large effect on which observations are highlighted and labelled.

A time series using the specialized version of ggplot() that converts the time series into a tibble and maps the x and y aesthetics automatically. We also highlight and label the peaks using stat_peaks().

ggplot(lynx, as.numeric = FALSE) + geom_line() +
  stat_peaks(colour = "red") +
  stat_peaks(geom = "text", colour = "red", angle = 66,
             hjust = -0.1, x.label.fmt = "%Y") +
  stat_peaks(geom = "rug", colour = "red", sides = "b") +
  expand_limits(y = 8000)
Figure 8. Plot of the lynx time series. The time series was converted on-the-fly into a data frame and x and y mappings set automatically. Automation relies on ggplot() being a generic function exported by package ‘ggplot2’ and the definition of method specializations in ‘ggpp’. Peaks are highlited and annotated with the year extracted and formatted by the stat.

Installation

Installation of the most recent stable version from CRAN (sources, Mac and Win binaries):

install.packages("ggpmisc")

Installation of the current unstable version from R-Universe CRAN-like repository (binaries for Mac, Win, Webassembly, and Linux, as well as sources available):

install.packages("ggpmisc",
                 repos = c("https://aphalo.r-universe.dev",
                           "https://cloud.r-project.org"))

Installation of the current unstable version from GitHub (from sources):

# install.packages("remotes") # nolint: commented_code_linter.
remotes::install_github("aphalo/ggpmisc")

Documentation

HTML documentation for the package, including help pages and the User Guide, is available at https://docs.r4photobiology.info/ggpmisc/.

News about updates are regularly posted at https://www.r4photobiology.info/.

Chapter 7 in Aphalo (2020) and Chapter 9 in Aphalo (2024) explain basic concepts of the grammar of graphics as implemented in ‘ggplot2’ as well as extensions to this grammar including several of those made available by packages ‘ggpp’ and ‘ggpmisc’. Information related to the book is available at https://www.learnr-book.info/.

Contributing

Please report bugs and request new features at https://github.com/aphalo/ggpmisc/issues. Pull requests are welcome at https://github.com/aphalo/ggpmisc.

Citation

If you use this package to produce scientific or commercial publications, please cite according to:

citation("ggpmisc")
#> To cite package 'ggpmisc' in publications use:
#> 
#>   Aphalo P (2026). _ggpmisc: Miscellaneous Extensions to 'ggplot2'_. R
#>   package version 0.6.3.9003,
#>   <https://docs.r4photobiology.info/ggpmisc/>.
#> 
#> A BibTeX entry for LaTeX users is
#> 
#>   @Manual{,
#>     title = {ggpmisc: Miscellaneous Extensions to 'ggplot2'},
#>     author = {Pedro J. Aphalo},
#>     year = {2026},
#>     note = {R package version 0.6.3.9003},
#>     url = {https://docs.r4photobiology.info/ggpmisc/},
#>   }

Acknowledgement

Being an extension to package ‘ggplot2’, some of the code in package ‘ggpmisc’ has been created by using as a template that from layer functions and scales in ‘ggplot2’. The user interface of ‘ggpmisc’ aims at being as consistent as possible with ‘ggplot2’ and the layered grammar of graphics (Wickham 2010). New features added in ‘ggplot2’ are added when relevant to ‘ggpmisc’, such as support for orientation for flipping of layers. This package does consequently indirectly include significant contributions from several of the authors and maintainers of ‘ggplot2’, listed at (https://ggplot2.tidyverse.org/).

References

Aphalo, Pedro J. (2024) Learn R: As a Language. 2ed. The R Series. Boca Raton and London: Chapman and Hall/CRC Press. ISBN: 9781032516998. 466 pp. 

Aphalo, Pedro J. (2020) Learn R: As a Language. 1ed. The R Series. Boca Raton and London: Chapman and Hall/CRC Press. ISBN: 9780367182533. 350 pp. 

Wickham, Hadley. 2010. “A Layered Grammar of Graphics.” Journal of Computational and Graphical Statistics 19 (1): 3–28. https://doi.org/10.1198/jcgs.2009.07098.

License

© 2016-2026 Pedro J. Aphalo (pedro.aphalo@helsinki.fi). Released under the GPL, version 2 or greater. This software carries no warranty of any kind.